Раздел: Позиции российских вузов в Московском международном рейтинге «Три миссии университета»
Позиции российских вузов в Московском международном рейтинге вузов «Три миссии университета», 2025 год. — Методика
Методология Московского международного рейтинга вузов «Три миссии университета», 2025 г.
Свыше 2500 вузов более чем из 150 стран
Методология Московского международного рейтинга вузов «Три миссии университета», 2025 г.
Первый проект методологии Московского международного рейтинга вузов был сформирован по итогам масштабного общественного обсуждения, в котором приняли участие свыше 100 организаций — университетов, советов ректоров, экспертных ассоциаций и рейтинговых агентств. Перечень критериев рейтинга был подан к рассмотрению в Международный экспертный совет рейтинга, в который вошли 25 авторитетных специалистов в сфере высшей школы, представляющих США, Великобританию, Бразилию, Китай, Индию, ЮАР, Иран, Италию, Бельгию, Турцию, Польшу и Россию. После выхода в декабре 2017 года пилотной версии рейтинга консультации с экспертами были продолжены.
Список университетов, подлежащих рассмотрению, ежегодно увеличивался: так, в 2022 году шорт-лист насчитывал более 2200 вузов, в 2023 году — более 2300 вузов, а в 2024 и 2025 годах — свыше 2500 вузов более чем из 150 стран.
Шорт-лист участников
Основу шорт-листа Московского международного рейтинга вузов в 2025 году составил шорт-лист рейтинга 2024 года, насчитывавший свыше 2500 вузов. Количество вузов, представляющих страну, определялось пропорционально вкладу страны в мировую экономику. В перечень вошли университеты, занимающие ведущие позиции в глобальных академических рейтингах и/или лидирующие в национальных рейтингах. В ряде случаев отбор осуществлялся на основании количества научных публикаций вуза за четырехлетний период. При этом из рассмотрения были исключены узкопрофильные вузы, то есть те из них, которые не имеют образовательных программ как минимум в двух из шести областей знаний по классификации ОЭСР, и вузы, не имеющие бакалаврских, магистерских программ и программ Ph.D. (аспирантуры) либо их эквивалентов. Впоследствии из шорт-листа были исключены вузы, численность обучающихся в которых составляет менее 500 человек.
Источники данных
Для составления рейтинга использовались только объективные критерии, одобренные международными экспертами; репутационные опросы полностью исключены. Источниками информации стали открытые данные официальных сайтов университетов и национальных органов власти, а также данные независимых международных источников: крупнейшего агрегатора платформ онлайн-курсов Class Central; платформы массового образования «Открытое образование» (Россия) и icourse163.org (Китай); общедоступной многоязычной универсальной энциклопедии «Википедия»; поисковых систем Google, «Яндекс», Baidu; социальных сетей Facebook*, X (бывшая Twitter**), VK, Sina Weibo, YouTube, Telegram; компании Similarweb, одного из мировых лидеров в области веб-аналитики; веб-сайтов международных олимпиад студентов; провайдеров библиометрических данных; веб-сайтов научных премий из списка IREG List of International Academic Awards.
Расчет рейтинга
Суммарный вес показателей групп составляет: 45 % у группы «Образование», 25 % у группы «Наука» и 30 % у группы «Университет и общество».
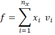
По каждому показателю рассчитывался балл вуза, характеризующий его позицию относительно конкурентов. Расчет осуществлялся двумя способами:
1) для нормализованных показателей (глобальная и национальная цитируемость, доля публикаций и транспарентность) балл вузов-участников рассчитывался по формуле:
![]()
где:
xi — балл показателя i,
ai — значение показателя i,
amax — максимальное значение показателя i,
amin — минимальное значение показателя i;
2) в случаях, когда линейный расчет неприменим, использовались методы нормализации данных.
Впоследствии баллы, набранные вузами по каждому из показателей рейтинга, умножались на соответствующие весовые коэффициенты. После этого взвешенные баллы вузов по всем показателям суммировались:

где:
f — рейтинговый функционал (балл),
— балл показателя i,
— количество показателей рейтинга,
— вес показателя i.
Критерии Московского международного рейтинга вузов «Три миссии университета», 2025 г.
|
№ |
Наименование критерия |
Что измеряется |
Вес критерия, % |
Смысл критерия и обоснование его использования |
Источник данных |
Особенности учета |
|
I. Группа критериев «Образование» |
||||||
|
1. |
Количество побед обучающихся в вузе на международных студенческих олимпиадах |
Конкурентоспособность студентов |
7 |
В отличие от привычных наукометрических показателей, измеряющих успехи сотрудников вузов, инновационный критерий Московского рейтинга позволяет измерить конкурентоспособность самих студентов. Критерий показывает качество знаний, навыков и умений, полученных студентами в процессе обучения, и способность студентов применять эти ресурсы для решения сложных задач. Количество победителей международных студенческих олимпиад и других престижных международных соревнований не может быть большим, тем не менее число победителей и призеров престижных соревнований способно концентрированно показать результативность образования и возможности студентов вуза для прорывных научных исследований |
Веб-сайты международных олимпиад |
Определялось количество побед в личных и командных состязаниях на 13 международных студенческих олимпиадах*** в период с 2020 г. по 2024 г. аналогично «медальному зачету» Олимпийских игр (учитывались победители и призеры олимпиад). При этом каждой олимпиаде присваивался вес в зависимости от странового охвата (максимальный вес 1,00 имеет ACM ICPC, в которой участвуют студенты более чем из 100 стран; минимальный вес 0,09 имеют NSUCRYPTO и Belgrade Business International Case Competition, в которых участвуют студенты из 9 стран). Полученные взвешенные значения суммировались |
|
2. |
Доля иностранных студентов в общем количестве студентов |
Привлекательность для иностранных студентов |
8 |
Индикатор, показывающий долю иностранных студентов в общем количестве студентов, широко используется в существующих академических рейтингах |
Веб-сайты университетов и органов власти |
Иностранные студенты, обучающиеся очно или очно-заочно по программам бакалавриата, специалитета, магистратуры и программам подготовки кадров высшей квалификации, которые провели в университете более 3 месяцев в рассматриваемом году (приводится к общей численности студентов, обучающихся очно по программам бакалавриата, специалитета, магистратуры и программам подготовки кадров высшей квалификации (ISCED-2011 Levels 6-8). Численность студентов рассчитывалась с приведением к эквиваленту полной нагрузки (full-time equivalent) |
|
3. |
Отношение бюджета вуза к количеству студентов |
Финансовые ресурсы |
15 |
Этот критерий измеряет уровень финансового благополучия вуза. Чем выше значение показателя, тем шире спектр возможностей у вуза для реализации трех основных миссий — образовательной, научной, общественной |
Веб-сайты университетов и органов власти |
В связи с тем, что в разных странах стоимость продукции, работ и услуг может сильно различаться, расчет бюджета производился по паритету покупательной способности, определенному Всемирным банком (в случае отсутствия — паритету по данным ОЭСР). Учитывались студенты, обучающиеся очно и очно-заочно по программам бакалавриата, специалитета, магистратуры и программам подготовки кадров высшей квалификации (ISCED-2011 Levels 6-8). Численность студентов рассчитывалась с приведением к эквиваленту полной нагрузки (full-time equivalent) |
|
4. |
Отношение количества НПР к количеству студентов |
Кадровые ресурсы |
15 |
Показатель фактически измеряет степень кадровой обеспеченности университета. Чем больше преподавателей и научных работников приходится в расчете на студента, тем больше внимания сотрудники вуза могут уделить каждому студенту и, следовательно, тем лучше условия в вузе |
Веб-сайты университетов и органов власти |
Численность научно-педагогических работников (профессорско-преподавательский состав и научные работники) рассчитывалась с приведением к полной ставке (full-time equivalent). При расчете численности студентов учитывалась численность обучающихся очно и очно-заочно по программам бакалавриата, специалитета, магистратуры и программам подготовки кадров высшей квалификации (ISCED-2011 Levels 6-8) и приводилась к эквиваленту полной нагрузки (full-time equivalent) |
|
II. Группа критериев «Наука» |
||||||
|
5. |
Количество научных премий из списка IREG у НПР и выпускников университета |
Выдающиеся научные достижения |
7 |
Предлагаемая метрика является развитием подхода, предложенного шанхайским рейтингом. Фундаментально идея подсчета количества лауреатов престижных премий для оценки научного потенциала вуза верна. Однако учет только Нобелевских премий и Филдсовской премии сильно ограничивает возможности для оценки вуза. Поэтому при составлении рейтинга используется список IREG List of International Academic Awards, в котором учтено 99 наиболее престижных в мире научных наград (с возможным расширением списка учитываемых премий в дальнейшем) |
Веб-сайты международных премий |
Определялось взвешенное количество премий из списка IREG List of International Academic Awards, полученных сотрудниками и выпускниками университетов в период с 2005 г. по 2024 г. Учитывались только сотрудники, находившиеся в штате вуза на момент вручения награды. В качестве выпускников учитывались лица, успешно прошедшие обучение в бакалавриате, магистратуре и аспирантуре вуза (и по программам, эквивалентным перечисленным) |
|
6. |
Средняя нормализованная цитируемость (глобальный уровень) |
Качество научных публикаций (международный уровень) |
10 |
Нормализованная цитируемость количественно показывает, насколько лучше или хуже, чем в среднем в мире, цитируется конкретная публикация по сравнению с работами того же типа, той же области знания и года публикации. Индикатор показывает, насколько научно-исследовательская деятельность вуза востребована глобальным научным сообществом, отражая ее актуальность и качество. Показатели нормализованной цитируемости широко используются при составлении академических рейтингов |
Расчеты на основании библиометрических данных |
Учитывались публикации за период 2020–2023 гг. Расчет нормализованной цитируемости осуществлялся отдельно по шести укрупненным областям знаний согласно классификации ОЭСР (естественные науки, инженерные и технические науки, медицинские науки, сельскохозяйственные науки, общественные науки, гуманитарные науки). После этого полученные показатели по всем областям знаний суммировались |
|
7. |
Средняя нормализованная цитируемость (национальный уровень) |
Качество научных публикаций (национальный уровень) |
3 |
Индикатор свидетельствует о том, насколько научно-исследовательская деятельность вуза востребована научным сообществом страны расположения университета. Введение данного критерия в систему показателей позволяет лучше учитывать достижения национальных научных школ и точнее измерять результаты в гуманитарных областях |
Расчеты на основании библиометрических данных |
Учитывались публикации за период 2020-2023 гг. Рассчитывалось отношение средней нормализованной цитируемости вуза к аналогичному показателю страны. Итоговый балл считался как отношение результата вуза к лучшему результату среди университетов страны расположения вуза |
|
8. |
Отношение дохода от исследований к числу НПР |
Вовлеченность сотрудников в научные исследования и разработки |
5 |
Индикатор фактически показывает, какой объем средств, привлеченных на исследования и разработки, приходится на одного сотрудника. Чем больше объем привлеченных средств в расчете на сотрудника, тем востребованнее научные исследования университета. Для университетов, собирающих данные по расходам, а не доходам, предусмотрен расчет показателя по расходам (бюджету) на НПР |
Веб-сайты университетов и органов власти |
Учитывался объем средств, привлеченных университетом на научные исследования и разработки. В эту сумму не входят иные составляющие, такие как доход от образовательной деятельности, инвестиций, коммерциализации и т. п. В случае если страновая или иная специфика не позволяет вычленять объем выручки от исследований, используется показатель исследовательского бюджета как объема потраченных на исследования средств. Расчет производился по паритету покупательной способности, определенному Всемирным банком (в случае отсутствия — паритету по данным ОЭСР). Численность научно-педагогических работников (профессорско-преподавательский состав и научные работники) рассчитывается с приведением к полной ставке (full-time equivalent) |
|
III. Группа критериев «Университет и общество» |
||||||
|
9. |
Количество массовых открытых онлайн-курсов вуза |
Вклад вуза в доступное онлайн-образование |
6 |
Инновационный показатель, впервые примененный в практике составления глобальных академических рейтингов, измеряет активность вуза в области развития массовых открытых онлайн-курсов. На открытые онлайн-курсы сформировался четко выраженный общественный запрос, и динамичное развитие этого вида образовательной деятельности не подлежит сомнению. Чем большее количество открытых курсов размещено на онлайн-платформах, тем шире знания, передаваемые университетом посредством интернет-технологий, и тем весомее его вклад в доступность образования во всем мире |
Агрегатор Class Central, онлайн-платформа «Открытое образование», icourse163.org |
Определялось количество массовых открытых онлайн-курсов, размещенных на платформах, учитываемых агрегатором Class Central, а также на платформах «Открытое образование» и icourse163.org, на момент сбора данных (июль 2025 г.). При этом каждой платформе присваивался вес в зависимости от общего количества слушателей онлайн-курсов данной платформы (максимальный вес 1,00 имеют платформы Coursera, edX, FutureLearn, «Открытое образование» и icourse163.org). Полученные взвешенные значения суммировались |
|
10. |
Доля вуза в общем объеме публикаций по стране |
Вклад вуза в развитие научных исследований в стране |
4 |
Инновационный критерий рейтинга, измеряющий национальную значимость университетов для развития науки в своих странах. Чем выше доля публикаций вуза в общем количестве публикаций университетов страны, тем выше доля такого вуза в объеме проводимых в стране исследований, следовательно, тем значимее и ценнее такой вуз для социума |
Расчеты на основании библиометрических данных |
Отношение количества публикаций вуза за четыре календарных года (2020–2023 гг.) к количеству публикаций страны расположения университета. Итоговый балл считался как отношение результата вуза к лучшему результату среди университетов страны расположения вуза |
|
11. |
Общее количество страниц веб-сайта университета, индексированных ведущими поисковыми системами |
Присутствие в Интернете |
3 |
Показатель отражает ряд важнейших составляющих качества взаимодействия вуза с обществом: открытость и прозрачность, доступность информации, стремление вуза к информационному обмену |
Поисковые системы Google, Baidu, «Яндекс» |
Количество проиндексированных поисковыми системами веб-страниц на официальных доменах вузов определялось при помощи стандартных синтаксических операторов поиска по домену поисковых систем Google, Baidu, «Яндекс». После замеров в течение апреля–июня 2025 г. было определено минимальное значение индекса согласно каждому из инструментов. В итоговый зачет вуза шел наивысший результат среди измерений тремя поисковыми системами |
|
12. |
Количество просмотров страницы вуза в «Википедии» |
Популярность в Интернете |
1 |
Наряду с официальным веб-сайтом университета «Википедия» является важным источником информации. Большое количество просмотров страницы университета свидетельствует о его влиянии на общество |
«Википедия» |
Суммарное количество просмотров страниц вуза в «Википедии» на английском и (если применимо) на официальном национальном языке (языках) страны расположения вуза в 2024 году |
|
13. |
Количество подписчиков аккаунта университета в социальных сетях |
Коммуникации в соцсетях |
3 |
Социальные сети являются одним из наиболее оперативных инструментов коммуникации между университетом и кругом заинтересованных лиц; значительное число университетов использует соцсети для информирования общественности о своей деятельности. Популярность разных социальных сетей различается в зависимости от страны и вуза, поэтому для каждого университета были собраны данные о подписчиках в шести социальных сетях |
Facebook*, X (бывш. Twitter**), VK, Sina Weibo, YouTube, Telegram |
Анализировалось количество подписчиков страницы или канала вуза в шести социальных сетях — Facebook*, VK, Х (бывш. Twitter**), Sina Weibo, YouTube, Telegram. Рассматривались страницы на английском языке и на национальных языках (если применимо). В итоговый зачет вуза шла сумма численности подписчиков в двух социальных сетях, где университет имеет наибольшую аудиторию |
|
14. |
Количество выпускников вуза, которым посвящена отдельная страница в «Википедии» |
Влияние выпускников на общество |
7 |
Качественное образование складывается во многом из несоизмеримых явлений, в том числе определяется степенью влияния университета на общество. Один из наиболее эффективных способов такого измерения — посчитать количество успешных в различных сферах деятельности (в политике, науке, творчестве, искусстве, бизнесе, благотворительности) выпускников, которым в «Википедии» посвящена отдельная статья. Индикатор количественно оценивает уровень воздействия вуза на общество |
Википедия |
Суммарное количество выпускников университета, имеющих персональную страницу в «Википедии», удовлетворяющую пороговым значениям: по году рождения выпускника — не ранее 1954 года, по количеству просмотров страницы — не менее 1000 за 2024 год. Таким образом, страницы выпускников, не востребованные пользователями, не учитываются при расчетах |
|
15. |
Размер интернет-аудитории сайта вуза |
Востребованность обществом |
4 |
Показатель отражает востребованность официального интернет-сайта пользователями по всему миру. Чем выше количество уникальных пользователей интернета, посещающих сайт вуза, тем популярнее университет. Университеты, сайты которых посещает большое количество интернет-пользователей, высоко востребованы в обществе и ценны для социума |
Similarweb |
Оценивается количество уникальных посетителей сайта университета в течение месяца. Используются данные компании Similarweb (сайт similarweb.com), одного из мировых лидеров в области веб-аналитики, замеры произведены в июле 2025 года |
|
16. |
Транспарентность |
Информационная открытость и качество информационной политики |
2 |
Индикатор комплексно оценивает политику вуза в области информационной открытости обществу, последовательность этой политики, а также поощрение вузом горизонтальных связей |
Веб-сайты университетов |
Индикатор учитывает наличие на официальном сайте вузов следующих ресурсов, материалов и публикаций: актуального общего годового отчета, актуального финансового отчета, портала для выпускников, открытого перечня либо системы поиска сотрудников, миссии университета
|
* — запрещена в РФ; принадлежит корпорации Meta, которая признана в РФ экстремистской.
** — заблокирована в РФ.
*** — перечень учитываемых студенческих олимпиад:
- The International Collegiate Programming Contest,
- Belgrade Business International Case Competition,
- International Mathematics Competition for University Students,
- John Molson Undergraduate Case Competition,
- Network of International Business Schools Worldwide Case & Business Plan Competitions,
- NSUCRYPTO,
- SCORE Software Engineering Contest,
- The Annual Willem C. Vis International Commercial Arbitration Moot,
- The Mathematical Contest in Modeling,
- The Philip C. Jessup International Law Moot Court Competition,
- The SIAM Award in the Mathematical Contest in Modeling,
- The University Physics Competition,
- The World Universities Debating Championships.